НОВОСТИ   БИБЛИОТЕКА   ЭКЗАМЕН ПО АНАТОМИИ   ЭКЗАМЕН ПО ПАТОЛОГИИ   О САЙТЕ  







предыдущая главасодержаниеследующая глава

3. Нервная система

12. Общий обзор строения и функций нервной системы

Центральный и периферический отделы. В нервной системе различают центральный и периферический отделы (цв. табл. V). К центральному отделу относятся спинной мозг, расположенный в позвоночном канале, и головной мозг, находящийся внутри мозгового черепа. Снаружи головной и спинной мозг покрыты оболочками.

Таблица V. Нервная система человека: 1 - головной мозг; 2 - спинной мозг; 3 - пограничный ствол симпатической системы; 4-нервные симпатические узлы на аорте (солнечное сплетение); 5 - блуждающий (парасимпатический нерв); симпатические нервы даны зеленым цветом, парасимпатические - желтым, остальные нервы - синим
Таблица V. Нервная система человека: 1 - головной мозг; 2 - спинной мозг; 3 - пограничный ствол симпатической системы; 4-нервные симпатические узлы на аорте (солнечное сплетение); 5 - блуждающий (парасимпатический нерв); симпатические нервы даны зеленым цветом, парасимпатические - желтым, остальные нервы - синим

На разрезе мозга (как головного, так и спинного) можно заметить, что в одних местах нервная ткань имеет более темный оттенок - серое вещество, а в других более светлый - белое вещество. Серое вещество мозга состоит из огромного количества нервных клеток; его белое вещество представляет собой скопление нервных волокон, по которым проходит возбуждение.

Часть нервных волокон выходит за пределы мозга, образуя нервы, которые направляются к различным органам тела. Совокупность нервов составляет периферический отдел нервной системы.

Значение нервной системы. Существование организма невозможно без координации, т. е. согласования деятельности отдельных органов. Точной и быстрой координации требует выполнение любого двигательного акта. Согласованно должны работать и другие органы. Так, в зависимости от выполняемой работы мышцы по-разному должны снабжаться кровью, что обеспечивается сужением или расширением сосудов; одновременно изменяется частота и сила сердечных сокращений и дыхательных движений. Регуляция и координация работы органов, строгое подчинение их деятельности потребностям организма как единого целого осуществляются нервной системой. Она обеспечивает приспособление организма к постоянно меняющимся условиям жизни, ориентировку в окружающем мире. Нервная система может быть названа органом не только регуляции и координации деятельности организма, но и познания окружающего мира. С деятельностью нервной системы связано мышление человека и все его поведение.

Рефлекс - основа нервной деятельности. С каждым органом тела нервная система связана двойными путями: по одним она получает информацию о том, что происходит как в самом организме, так и в окружающей среде, а по другим посылает ответные импульсы, воздействующие на работу органа. Нервные волокна, передающие возбуждение в центральную нервную систему, называются афферентными (т. е. приносящими) или центростремительными, а передающие его органам называются эфферентными (т. е. уносящими) или центробежными.

Реакции организма, возникающие в ответ на раздражение и протекающие при участии нервной системы, называются рефлексами. Они лежат в основе всей деятельности нервной системы. Всякое изменение, возникающее в любом органе тела, вызывает возбуждение соответствующих окончаний центростремительных нервов, что и влечет за собой рефлекторные реакции органов.

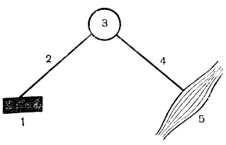
Путь, по которому пробегают импульсы, вызывающие ответную реакцию, называется рефлекторной дугой (рис. 25). В каждой рефлекторной дуге различают: воспринимающие нервные окончания, или рецепторы, находящиеся во всех органах тела и очень чувствительные к раздражению; центростремительный путь, по которому импульсы направляются от рецепторов в центральную нервную систему; путь по центральной нервной системе; центробежный путь, по которому идут ответные импульсы к органам тела; орган, дающий ответную реакцию, например мышца, сердце, слюнная железа.

Рис. 25. Общая схема рефлекторной дуги: 1 - рецептор; 2 - центростремительный нерв; 3 - центральная нервная система; 4 - центробежный нерв; 5 - орган, дающий ответную реакцию
Рис. 25. Общая схема рефлекторной дуги: 1 - рецептор; 2 - центростремительный нерв; 3 - центральная нервная система; 4 - центробежный нерв; 5 - орган, дающий ответную реакцию

Спинной мозг. Спинной мозг тянется в виде толстого шнура, разделенного двумя бороздами на правую и левую половины (рис. 26). В центре спинного мозга проходит канал, который продолжается в головной мозг. Рассматривая поперечный разрез спинного мозга, нетрудно заметить, что в середине расположено серое вещество, а по краям - белое. Участки серого вещества, раздражение которых вызывает работу тех или иных органов, условно называют нервными центрами этих органов. В сером веществе спинного мозга находятся центры мышц туловища и конечностей, а также центры внутренних органов. Нервные волокна, составляющие основную массу белого вещества, образуют проводящие пути. Они осуществляют связь между нейронами различных отделов мозга.

Рис. 26. Спинной мозг: вверху - поперечный разрез спинного мозга; внизу - спинной мозг в позвоночном канале; 1 - передние корешки нервов; 2 - задние корешки; 3 - пограничный симпатический ствол
Рис. 26. Спинной мозг: вверху - поперечный разрез спинного мозга; внизу - спинной мозг в позвоночном канале; 1 - передние корешки нервов; 2 - задние корешки; 3 - пограничный симпатический ствол

Между каждой парой соседних позвонков от спинного мозга отходят слева и справа спинномозговые нервы - всего 31 пара. Каждый нерв начинается двумя корешками - передним и задним. Через задние корешки возбуждение передается с периферии в спинной мозг, а через передние - от спинного мозга к мышцам и другим органам. Поэтому передние корешки называют двигательными, а задние чувствующими. Оба корешка по выходе из мозга сливаются в один нерв. Таким образом, нервы, идущие от спинного мозга, смешанные: в них находятся нервные волокна афферентные (центростремительные) и эфферентные (центробежные).

Головной мозг. Строение головного мозга изображено на цветной таблице VI. Участок головного мозга, который представляет собой непосредственное продолжение спинного, называется продолговатым мозгом. Он хорошо виден на нижней поверхности головного мозга, а также если разрезать весь головной мозг в продольном направлении на две равные части (цв. табл. VII). Впереди продолговатого мозга в виде поперечного вала расположен мост.

Таблица VI. Головной мозг: А - правая половина мозга (вход с внутренней стороны); Б - нижняя поверхность мозга; 1 - верхний участок спинного мозга; 2 - продолговатый мозг; 3 - мост; 4 - мозжечок; 5 - средний мозг; 6 - четверохолмие; 7 - промежуточный мозг; 8 - кора больших полушарий; 9 - мозолистое тело, соединяющее правое полушарие с левым; 10 - перекрест зрительных нервов; 11 - обонятельные луковицы
Таблица VI. Головной мозг: А - правая половина мозга (вход с внутренней стороны); Б - нижняя поверхность мозга; 1 - верхний участок спинного мозга; 2 - продолговатый мозг; 3 - мост; 4 - мозжечок; 5 - средний мозг; 6 - четверохолмие; 7 - промежуточный мозг; 8 - кора больших полушарий; 9 - мозолистое тело, соединяющее правое полушарие с левым; 10 - перекрест зрительных нервов; 11 - обонятельные луковицы

Таблица VII. Локализация функций в коре больших полушарий: А - наружная поверхность левого полушария; Б - внутренняя поверхность правого полушария; 1 - двигательный центр; 2 - центры кожной чувствительности; 3 - центры зрения; 4 - центры слуха; 5 - центры обоняния и вкуса; заштрихованные центры речи - двигательный (6), слуховой (7), зрительный (8)
Таблица VII. Локализация функций в коре больших полушарий: А - наружная поверхность левого полушария; Б - внутренняя поверхность правого полушария; 1 - двигательный центр; 2 - центры кожной чувствительности; 3 - центры зрения; 4 - центры слуха; 5 - центры обоняния и вкуса; заштрихованные центры речи - двигательный (6), слуховой (7), зрительный (8)

С продолговатым мозгом и мостом связана большая часть нервов головного мозга. Сюда идут центростремительные импульсы от органа слуха, кожи головы, слизистой оболочки полости рта. Отсюда выходят центробежные импульсы ко всем мышцам головы и слюнным железам. Через блуждающий нерв продолговатый мозг связан с органами кровообращения, пищеварения и дыхания. Следовательно, его деятельность имеет непосредственное отношение к важнейшим жизненным отправлениям: здесь находятся центры дыхательный, сердечно-сосудистый, мимических мышц лица, жевания, глотания, рвоты, кашля, слюноотделения и многие другие.

Позади продолговатого мозга и моста расположен мозжечок, Поверхность мозжечка, испещренная многочисленными бороздками, состоит из серого вещества. Сюда направляются импульсы с периферии, в частности от всех мышц тела, а также из коры больших полушарий и других отделов мозга. Мозжечок принимает участие в координации движений. Нарушение этой функции наблюдается при некоторых заболеваниях, а также при опьянении.

Небольшой участок мозга, расположенный над мостом, называется средним мозгом. Здесь находятся скопления нервных клеток, или ядра, принимающие участие в регуляции мышечного тонуса. На задней стороне расположено четверохолмие - четыре бугорка, два из которых видны на продольном разрезе мозга (цв. табл. VII).

В четверохолмии находятся центры ориентировочных рефлексов на свет и звуки. Известно, что всякий внезапный звук или вспышка света вызывает рефлекторную реакцию: человек настораживается, поворачивает голову в сторону раздражителя. Подобные реакции имеют огромное биологическое значение. Они ориентируют организм в явлениях, происходящих в окружающей среде, т. е. помогают в них разбираться. Отсюда и их название.

Остальная часть мозга называется передним мозгом. Он состоит из межуточного мозга, граничащего со средним мозгом, и больших полушарий - основной массы головного мозга, покрывающей сверху и с боков все другие его части.

В межуточном мозге различают бугры, подбугровую область и некоторые другие участки (рис. 27). Через ядра бугров и смежных с ними образований проходят к большим полушариям афферентные пути от всех частей тела. Однако нельзя рассматривать бугры как простую передаточную станцию. Здесь информация перерабатывается и обобщается. Одна из функций бугров - участие в образовании эмоций, точнее, чувственной окраски ощущений. При поражении бугров проявление эмоций нередко нарушается. Так, одинаковое прикосновение к коже может сопровождаться то очень неприятным, то, наоборот, приятным ощущением. Скопления серого вещества, расположенные в подбугровой области межуточного мозга, играют весьма существенную роль в регуляции процессов обмена веществ и деятельности внутренних органов.

Рис. 27. Серое и белое вещество на поперечном разрезе головного мозга: 1 - кора больших полушарий; 2 - подкорковые двигательные ядра; 3 - бугры промежуточного мозга; 4 - подбугровая область; справа - схема разреза
Рис. 27. Серое и белое вещество на поперечном разрезе головного мозга: 1 - кора больших полушарий; 2 - подкорковые двигательные ядра; 3 - бугры промежуточного мозга; 4 - подбугровая область; справа - схема разреза

В больших полушариях различают лобную, теменную, височную и затылочную доли (цв. табл. VII). Глубокая боковая борозда отделяет височную долю от лобной и теменной; другая (центральная) отграничивает лобную долю от теменной. Поверхность больших полушарий состоит из серого вещества и называется корой. Скопления серого вещества имеются и в глубине больших полушарий - это подкорковые ядра. Их функция связана с осуществлением сложных движений. При повреждении подкорковых ядер лицо становится неподвижным или, наоборот, вследствие чрезмерного сокращения мимических мышц, одна гримаса сменяет другую.

Кора больших полушарий. К коре больших полушарий стекается информация от всех органов. Чрезвычайно сильное развитие коры больших полушарий, особенно некоторых ее отделов - основной отличительный признак человеческого мозга. Достаточно сказать, что у человека на долю коры, несмотря на очень небольшую ее толщину (от 2 до 4 мм в разных участках полушарий), приходится примерно 1/3 веса всего головного мозга. Это объясняется особенностью поверхности больших полушарий: она испещрена бороздами. Тонкий слой коры следует за каждым изгибом поверхности, образуя многочисленные извилины. Общая ее площадь достигает почти 1/4 кв. м. В коре больших полушарий находится около 14 миллиардов клеток, что составляет больше половины всех нервных клеток головного и спинного мозга.

Функция отдельных участков коры неодинакова (цв. табл. VII). Информация с органов зрения поступает в затылочную область, с органов слуха - в височную, с кожи - в заднюю центральную область (позади центральной борозды), с мышц и сухожилий - в переднюю центральную область. Внутри каждой области можно наблюдать очень дробную локализацию. Так, в передней центральной извилине каждая мышца имеет свое определенное представительство в коре, иными словами, участок, раздражение которого вызывает ее сокращение. Мышцы, принимающие участие в более сложных и разнообразных движениях, имеют большую площадь коркового представительства. Это особенно заметно при сравнении корковых центров мышц ноги туловища, отдельных частей руки, языка, голосовых связок. С особыми участками мозга связана членораздельная человеческая речь: двигательный центр речи связан с произнесением слов, слуховой центр - со слуховым восприятием речи, зрительный - с чтением, центр письма - с написанием слов. Установлено, однако, что функция речи связана не только с этими ограниченными участками коры, но и с многими другими.

Большая часть нервных путей, идущих как к коре, так и от коры, перекрещивается, а потому правое полушарие связано главным образом с левой половиной тела, а левое - с правой.

Вегетативная нервная система. Внутренние органы обладают двойной иннервацией: к каждому из них подходят два нерва - симпатический и парасимпатический. Симпатические нервы отходят от грудного и верхней части поясничного отделов спинного мозга, а парасимпатические - от некоторых участков головного мозга (в основном от продолговатого) и от нижнего отдела спинного мозга. Симпатические и парасимпатические нервы образуют единую вегетативную систему (цв. табл. VIII).

Таблица VIII. Схема вегетативной нервной системы
Таблица VIII. Схема вегетативной нервной системы

Путь от центральной нервной системы к мышцам состоит из одного нейрона: его тело расположено в сером веществе спинного или стволовой части головного мозга, а длинный отросток (аксон), не прерываясь, тянется до мышцы. В вегетативной системе путь от центральной нервной системы до органа состоит из двух нейронов: аксон первого нейрона подходит к телу второго нейрона, и лишь его аксон достигает иннервируемого органа.

Как правило, симпатический и парасимпатический нервы оказывают на орган противоположные действия. Так, симпатический нерв учащает сердечные сокращения, а парасимпатический - замедляет их. Парасимпатические нервы иннервируют главным образом внутренние органы, а симпатические направляются ко всем органам. Симпатические волокна подходят даже к скоплениям нервных клеток в спинном и головном мозге. Столь широкое распространение симпатических нервов объясняется тем, что их функция связана с регуляцией процессов обмена веществ, протекающих в каждой живой клетке.

предыдущая главасодержаниеследующая глава

















© ANFIZ.RU, 2011-2022
При использовании материалов сайта активная ссылка обязательна:
http://anfiz.ru/ 'Анатомия и физиология человека'


Поможем с курсовой, контрольной, дипломной
1500+ квалифицированных специалистов готовы вам помочь